公制粗牙螺纹尺寸(M)
旋转接头连接口公制螺纹如何选择?
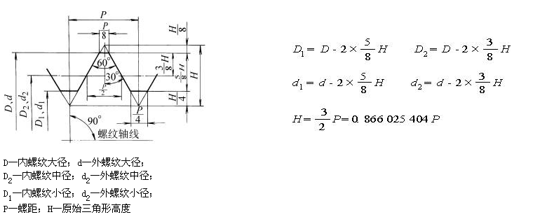
普通公制牙型角=60°螺纹尺寸计算公式:D1=D-2x5/8H d1=d-2x5/8H D2=D-2x3/8H d2=d-2x3/8H H=0.8660254P

| 公制粗牙螺纹尺寸(M)-志存密封资料 | ||||||||||||||
| 公称直径 | 螺距P | 螺纹 长度 | 外螺纹直径 | 内螺纹直径 | 底孔 | |||||||||
| 最大大径 | 最小大径 | 最大中径 | 最小中径 | 最大小径 | 最小小径 | 退刀槽直径 | 最大中径 | 最小中径 | 最大小径 | 最小小径 | ||||
| M3 | 0.5 | 4.5 | 2.98 | 2.874 | 2.655 | 2.58 | 2.367 | 2.256 | 2.056 | 2.775 | 2.675 | 2.599 | 2.459 | 2.5 |
| M4 | 0.7 | 6 | 3.978 | 3.838 | 3.523 | 3.433 | 3.449 | 2.979 | 2.779 | 3.663 | 3.545 | 3.422 | 3.242 | 3.3 |
| M5 | 0.8 | 7.5 | 4.9576 | 4.826 | 4.456 | 4.361 | 3.995 | 3.842 | 3.642 | 4.605 | 4.48 | 4.334 | 4.134 | 4.2 |
| M6 | 1 | 9 | 5.974 | 5.794 | 5.324 | 5.212 | 4.747 | 4.563 | 4.363 | 5.5 | 5.35 | 5.153 | 4.917 | 5 |
| M8 | 1.25 | 12 | 7.972 | 7.76 | 7.16 | 7.042 | 6.438 | 6.23 | 6.03 | 7.348 | 7.188 | 6.912 | 6.647 | 6.7 |
| M10 | 1.5 | 15 | 9.968 | 9.732 | 8.994 | 8.862 | 8.128 | 7.888 | 7.688 | 9.206 | 9.026 | 8.676 | 8.376 | 8.5 |
| M12 | 1.75 | 18 | 11.966 | 11.701 | 10.829 | 10.679 | 9.819 | 9.543 | 9.434 | 11.063 | 10.863 | 10.441 | 10.106 | 10.2 |
| M14 | 2 | 24 | 13.962 | 13.682 | 12.663 | 12.503 | 11.508 | 11.204 | 11.004 | 12.913 | 12.701 | 12.21 | 11.835 | 12 |
| M16 | 2 | 30 | 15.966 | 15.682 | 14.662 | 14.503 | 13.508 | 13.204 | 13.004 | 14.913 | 14.701 | 14.21 | 13.835 | 14 |
| M18 | 2.5 | 30 | 17.958 | 17.623 | 16.334 | 16.164 | 14.891 | 14.541 | 14.341 | 16.6 | 16.376 | 15.744 | 15.294 | 15.5 |
| M20 | 2.5 | 30 | 19.958 | 19.623 | 18.334 | 18.164 | 16.891 | 16.541 | 16.341 | 18.6 | 18.376 | 17.744 | 17.294 | 17.5 |
| M22 | 2.5 | 30 | 21.958 | 21.623 | 20.334 | 20.164 | 18.891 | 18.541 | 18.341 | 20.6 | 20.376 | 19.744 | 19.294 | 19.5 |
| M24 | 3 | 36 | 23.952 | 23.577 | 22.003 | 21.803 | 20.271 | 19.855 | 19.655 | 22.316 | 22.051 | 21.252 | 20.751 | 21 |
| M27 | 3 | 36 | 36.952 | 26.577 | 25.003 | 24.803 | 23.271 | 22.855 | 22.655 | 25.316 | 25.051 | 24.252 | 23.752 | 24 |
| M30 | 3.5 | 45 | 29.947 | 29.522 | 27.674 | 27.462 | 25.653 | 25.189 | 24.989 | 28.007 | 27.727 | 26.771 | 26.211 | 26.5 |
| M33 | 3.5 | 45 | 32.947 | 32.522 | 30.674 | 30.462 | 28.653 | 28.189 | 27.989 | 31.007 | 30.727 | 29.771 | 29.211 | 29.5 |
| M36 | 4 | 53 | 35.94 | 35.465 | 33.342 | 33.118 | 31.033 | 30.521 | 30.321 | 33.702 | 33.402 | 32.27 | 31.67 | 32 |
| M42 | 4.5 | 63 | 41.937 | 41.437 | 39.014 | 38.778 | 36.416 | 35.856 | 35.656 | 39.392 | 39.077 | 37.799 | 37.29 | 37.5 |
| M48 | 5 | 71 | 47.929 | 47.399 | 44.681 | 44.431 | 41.795 | 41.185 | 40.985 | 45.087 | 44.752 | 43.297 | 42.587 | 43 |
| M64 | 6 | 95 | 63.92 | 63.32 | 60.023 | 59.743 | 56.559 | 55.847 | 55.647 | 60.478 | 60.103 | 58.305 | 57.505 | 58 |
志存密封是国内精密旋转接头厂家,团队20年专注各类旋转接头定制.欢迎大家旋转接头螺纹选择过程中遇到问题与我们门交流.
发布时间:2023-05-18 01:34
넶浏览量:0


